全国2009年1月高等教育自学考试混凝土结构设计试
课程代码:02440
一、单项选择题(本大题共20小题,每小题2分,共40分)
在每小题列出的四个备选项中只有一个是符合题目要求的,请将其代码填写在题后的括号内.错选、多选或未选均无分.
1.关于结构的功能要求,下列说法中错误的是( )
A.能承受可能出现的各种作用
B.具有良好的工作性能
C.具有卓越的节能、环保性能
D.具有足够的耐久性能
2.抗震设计时,框架结构合理的屈服机制应当是( )
A.塑性铰先出现在梁端
B.塑性铰先出现在柱端
C.塑性铰先出现在梁的跨中
D.塑性铰同时出现在梁端与柱端
3.框筒结构不宜采用的平面型式是( )
A.圆形
B.三角形
C.正多边形
D.长宽比不大于2的矩形
4.等高排架是指排架中各柱( )
A.柱顶标高相等的排架
B.柱顶位移相等的排架
C.柱底标高相等的排架
D.柱顶剪力相等的排架
5.一般情况下,在初选框架梁的截面高度时,主要考虑的因素是( )
A.梁的跨度
B.层高
C.结构的总高度
D.梁的混凝土强度等级
6.下列说法中正确的是( )
A.在结构构件承载能力极限状态的设计表达式中,采用荷载效应的标准组合
B.在结构构件正常使用极限状态的设计表达式中,采用荷载效应的偶然组合
C.在结构构件承载能力极限状态的设计表达式中,采用荷载效应的准永久组合
D.在结构构件正常使用极限状态的设计表达式中,采用荷载效应的标准组合
7.高度60m的钢筋混凝土结构,其水平地震作用的计算方法,不应选择( )
A.振型分解反应谱法
B.底部剪力法
C.时程分析法
D.振型分解反应谱法,时程分析法作补充计算
8.符合下列条件的可判定为联肢剪力墙(α为整体系数,[ζ]为肢强系数限值)( )
A.ζ≤[ζ],α<10
B.ζ>[ζ],α≥10
C.ζ>[ζ],α>10
D.ζ≤[ζ],α≥10
9.用分层法计算框架内力时,应对柱线刚度进行如下修正:( )
A.底层柱不变,其余各层柱乘以0.9
B.底层柱不变,其余各层柱乘以0.8
C.底层柱乘以0.9,其余各层柱不变
D.底层柱乘以0.8,其余各层柱不变
10.对装配整体式楼盖,中框架梁的截面惯性矩应取矩形截面惯性矩I0的( )
A.1.0倍
B.1.2倍
C.1.5倍
D.2.0倍
11.第二阶段抗震设计的主要任务是( )
A.验算构件的承载力
B.验算构件的抗裂性能
C.验算结构的弹性变形
D.验算结构的弹塑性变形
12.对突出屋面的小塔楼的地震作用,计算小塔楼时,该水平地震作用( )
A.应放大3倍,增大部分传给下部楼层
B.应放大3倍,增大部分不传给下部楼层
C.应放大2倍,增大部分传给下部楼层
D.应放大2倍,增大部分不传给下部楼层
13.下列叙述正确的是( )
A.框架的变形曲线呈弯曲型
B.剪力墙的变形曲线呈剪切型
C.当λ在l~6之间时,框架-剪力墙的变形曲线呈弯剪型
D.当λ≤1时,框架-剪力墙的变形曲线接近于剪切型
14.关于单层厂房排架柱的内力组合,下面说法中不正确的是( )
A.每次内力组合时,都必须考虑恒载产生的内力
B.同台吊车的Dmax和Dmin,不能同时作用在同一柱上
C.风荷载有左吹风或右吹风,组合时只能二者取一
D.同一跨内组合有Tmax时,不一定要有Dmax或Dmin
15.对风荷载单独作用下的多层框架结构,下列说法中不正确的是( )
A.迎风一侧柱产生轴向拉力,背风一侧柱产生轴向压力
B.外柱轴力大,内柱轴力小
C.框架柱除产生弯矩、剪力外,还产生轴向力
D.房屋越宽,由柱轴向变形引起的侧移越大
16.关于地震烈度,下列说法中错误的是( )
A.一般情况下,距震中越近,地震烈度越高
B.一次地震有多个地震烈度
C.地震烈度是指地震对地表及工程建筑物影响的强弱程度
D.地震烈度是衡量一次地震所能释放能量大小的尺度
17.高度不超过150m的一般剪力墙结构,其底部加强部位高度为( )
A.底部两层的高度
B.墙肢总高度的1/8
C.墙肢总高度的1/8和底部两层高度二者的较大值
D.墙肢总高度的1/10,并不小于底层层高
18.剪力墙内的分布钢筋不应采用( )
A.单排配筋
B.双排配筋
C.三排配筋
D.四排配筋
19.我国《高层建筑混凝土结构技术规程》(JGJ3-2002)对高层建筑的定义是( )
A.8层以上建筑物
B.8层及8层以上建筑物
C.10层以上建筑物
D.10层及10层以上或高度超过28m的建筑物
20.一般情况下,进行现浇框架梁的截面设计时,( )
A.跨中和支座均按T形截面计算
B.跨中和支座均按矩形截面计算
C.跨中按T形截面计算,支座按矩形截面计算
D.跨中按矩形截面计算,支座按T形截面计算
二、填空题(本大题共10小题,每小题1分,共10分)
请在每小题的空格中填上正确答案.错填、不填均无分.
21.结构在规定的时间内,在规定的条件下,完成预定功能的能力,称为结构的___________.
22.纪念性建筑和特别重要的建筑结构的___________年限为100年.
23.50年内超越概率为___________的地震烈度,称为该地区的地震基本烈度.
24.竖向地震作用会在高层建筑的上部产生___________应力.
25.当洞口比较大而且比较宽时,墙肢与连梁相比过弱,就会产生大多数楼层的墙肢出现反弯点的情况,这种剪力墙称为___________.
26.剪力墙墙肢截面设计时,如墙肢为小偏心受压,还要按___________构件验算平面外的承载力.
27.将大型屋面板直接支承在屋架或屋面梁上的屋盖体系称为___________屋盖体系.
28.对于排架来说,吊车横向水平荷载作用在吊车梁___________的水平处.
29.梁、柱和楼板均为预制,然后通过焊接拼装连接而成整体的框架结构类型为___________式框架.
30.框架柱的反弯点高度指反弯点到该柱___________的距离.
三、简答题(本大题共5小题,每小题4分,共20分)
31.抗震设计的框架柱,其尺寸应满足哪些要求?
32.小开口墙的墙肢弯矩有什么特点?它的顶点位移如何计算?
33.单层工业厂房屋盖支撑通常包括哪些部分?
34.简述"D值法"中计算D值的主要步骤.
35.简要说明在框架-剪力墙结构中限制剪力墙最大间距的理由.
四、计算题(本大题共5小题,每小题6分,共30分)
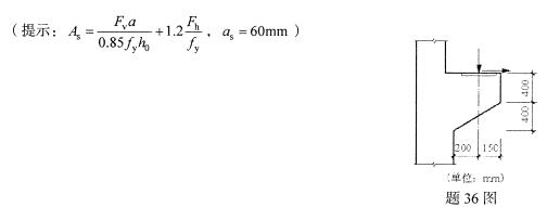
36.柱子牛腿如题36图所示.已知纵向受拉钢筋面积为631mm2,fy=300N/mm2,水平拉力设计值为75kN.试计算该牛腿所能承受的竖向力设计值.
37.三层钢筋混凝土框架结构的计算简图如题37图所示.各层重力荷载代表值为G1=G2=G3=1500kN,各层的层刚度Kl=K2=K3=24000kN/m.试用能量法计算其基本自振周期.
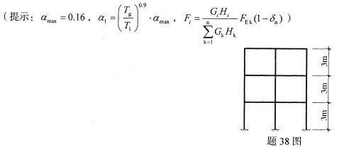
38.两跨三层框架如题38图所示.各层层高均为3m,框架边柱侧移刚度相等,中柱的侧移刚度是边柱的1.2倍,各层的重力荷载代表值均为2400kN,结构的基本自振周期为0.4s,场地特征周期为0.3s,抗震设防烈度为8度.试用底部剪力法计算该框架第3层中柱的地震剪力.
39.两层三跨框架的计算简图如题39图所示.各柱侧移刚度均为4.0×103kN/m.试计算该框架由梁柱弯曲引起的顶点侧移值
40.排架计算简图如题40图所示.已知W=10kN,M=100kN·m.试用剪力分配法求B柱弯矩图.
(提示:弯矩作用在牛腿顶面,柱顶不动铰支座反力R=C3·M/H,C3=1.2)

本文标签:贵州自考 历年真题 全国2009年1月高等教育自学考试混凝土结构设计试
转载请注明:文章转载自(贵州自考网)
⊙小编提示:添加【贵州自考网】招生老师微信,即可了解2025年贵州自考政策资讯、自考报名入口、准考证打印入口、成绩查询时间以及领取历年真题资料、个人专属备考方案等相关信息!

(添加“贵州自考网”招生老师微信,在线咨询报名报考等相关问题)
贵州自考网声明:
1、由于各方面情况的调整与变化,本网提供的考试信息仅供参考,考试信息以省考试院及院校官方发布的信息为准。
2、本网信息来源为其他媒体的稿件转载,免费转载出于非商业性学习目的,版权归原作者所有,如有内容与版权问题等请与本站联系。联系邮箱:952056566@qq.com
贵州自考便捷服务
贵州自考网考生微信交流群



