全国2007年10月高等教育自学考试数据结构导论试
全国2007年10月高等教育自学考试
数据结构导论试题
课程代码:02142
一、单项选择题(本大题共15小题,每小题2分,共30分)
在每小题列出的四个备选项中只有一个是符合题目要求的,请将其代码填写在题后的括号内.错选、多选或未选均无分.
1.在数据结构中,从逻辑上可以把数据结构分成( )
A.线性结构和非线性结构
B.紧凑结构和非紧凑结构
C.动态结构和静态结构
D.内部结构和外部结构
2.for(i=0;i<m;i++)
for(j=0;j<n;j++)
A[i][j]=i*j;
上面算法的时间复杂度为( )
A.O(m2)
B.O(n2)
C.O(m×n)
D.O(m+n)
3.设顺序表有9个元素,则在第3个元素前插入一个元素所需移动元素的个数为( )
A.5
B.6
C.7
D.9
4.设p为指向双向循环链表中某个结点的指针,p所指向的结点的两个链域分别用p→llink和p→rlink表示,则同样表示p指针所指向结点的表达式是( )
A.p→llink
B.p→rlink
C.p→llink→llink
D.p→llink→rlink
5.一个向量第一个元素的存储地址是100,每个元素的长度为2,则第5个元素的存储地址是( )
A. 110
B. 108
C. 100
D. 120
6.设有一个栈,按A、B、C、D的顺序进栈,则可能为出栈序列的是( )
A.DCBA
B.CDAB
C.DBAC
D.DCAB
7.在一个具有n个单元的顺序栈中,假定以地址低端(即0单元)作为栈底,以top为栈顶指针,则当做出栈处理时,top变化为( )
A.top++
B.top--
C.top不变
D.top=0
8.除根结点外,树上每个结点( )
A.可有任意多个孩子、一个双亲
B.可有任意多个孩子、任意多个双亲
C.可有一个孩子、任意多个双亲
D.只有一个孩子、一个双亲
9.题9图中树的度为( )
A.2
B.3
C.5
D.8
10.有4个顶点的无向完全图的边数为( )
A.6
B.12
C.16
D.20
11.设图的邻接矩阵为
,则该图为( )
A.有向图
B.无向图
C.强连通图
D.完全图
12.在对查找表的查找过程中,若被查找的数据元素不存在,则把该数据元素插入到集合中.这种方式主要适合于( )
A.静态查找表
B.动态查找表
C.静态查找表与动态查找表
D.静态查找表或动态查找表
13.用散列函数求元素在散列表中的存储位置时,可能会出现不同的关键字得到相同散列函数值的冲突现象.可用于解决上述问题的是( )
A.线性探测法
B.除留余数法
C.平方取中法
D.折叠法
14.排序算法中,第一趟排序后,任一元素都不能确定其最终位置的算法是( )
A.选择排序
B.插入排序
C.冒泡排序
D.快速排序
15.在排序方法中,从未排序序列中挑选元素,并将其依次放入已排序序列(初始时为空)的一端的方法,称为( )
A.希尔排序
B.归并排序
C.插入排序
D.选择排序
二、填空题(本大题共13小题,每小题2分,共26分)
请在每小题的空格中填上正确答案.错填、不填均无分.
16.如果操作不改变原逻辑结构的"值",而只是从中提取某些信息作为运算结果,则称该类运算为__________型运算.
17.设有指针head指向不带表头结点的单链表,用next表示结点的一个链域,指针p指向与链表中结点同类型的一个新结点.现要将指针p指向的结点插入表中,使之成为第一个结点,则所需的操作为"p→next=head;"和"__________".
18.单链表中逻辑上相邻的两个元素在物理位置上__________相邻.
19.在一个长度为n的数组中删除第i个元素(1≤i≤n)时,需要向前移动的元素的个数是__________.
20.设F、C是二叉树中的两个结点,若F是C的祖先结点,则在采用后根遍历方法遍历该二叉树时,F和C的位置关系为:F必定在C的__________.
21.若用后根遍历法遍历题21图所示的二叉树,其输出序列为__________.

22.具有n个顶点的连通图至少需有__________条边.
23.在无向图G的邻接矩阵A中,若A[i][j]等于1,则A[j][i]等于__________.
24.设顺序表的表长为n,且查找每个元素的概率相等,则采用顺序查找法查找表中任一元素,在查找成功时的平均查找长度为__________.
25.在索引顺序表上的查找分两个阶段:一是查找__________,二是查找块.
26.文件的基本运算有检索和修改两类.而检索又有三种方式,它们是__________存取、直接存取和按关键字存取.
27.在对一组关键字为(54,38,96,23,15,72,60,45,83)的记录采用直接选择排序法进行排序时,整个排序过程需进行__________趟才能够完成.
28.冒泡排序是一种稳定排序方法.该排序方法的时间复杂度为__________.
三、应用题(本大题共5小题,每小题6分,共30分)
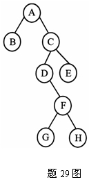
29.分别写出题29图中二叉树的先根、中根、后根遍历序列.

30.设要将序列(Q,H,C,Y,P,A,M,S,R)按字母升序排序,请分别画出采用堆排序方法时建立的初始堆,以及第一次输出堆顶元素后经过筛选调整的堆的完全二叉树形态.
31.如题31图所示,输入元素为A,B,C,在栈的输出端得到一个输出序列ABC,试写出在栈的输入端三个可能的输入序列.
32.已知无向图G的邻接矩阵如题32图所示.请画出该无向图,并写出按深度优先搜索时的访问序列.

33.对长度为20的有序表进行二分查找,试画出它的一棵判定树.
四、算法设计题(本大题共2小题,每小题7分,共14分)
34.下面程序段为删除循环链表中第一个info域值等于x的结点,请填上程序中缺少的部分.循环链表的结构如题34图所示:

struct node{ int info;struct node *link; }
int Delete (struct node *head, int x)
{ struct node *p, *q; /*p:当前处理的结点;q:p的前驱结点*/
if (! head ) return (0);
if (head→link ==head)
{ if (head→info==x)
{ free (head);head=NULL;return (x)
}
return (0);
}
p=head; q=head;
while (q→link!=head) q=(1) ;
while (p→link!=head)
{ if (p→info==x)
{ (2) ;
if (p==head) head=(3) ;
free (p);return (x);
}
else { q=p ;(4) ;}
}
return (0);
}
35.设以二叉链表为二叉树的存储结构,结点的结构如下
lchild
data
rchild
其中data域为整数,试设计一个算法void change(bitreptr r): 若结点左孩子的data域的值大于右孩子的data域的值,则交换其左、右子树.
本文标签:贵州自考 历年真题 全国2007年10月高等教育自学考试数据结构导论试
转载请注明:文章转载自(贵州自考网)
⊙小编提示:添加【贵州自考网】招生老师微信,即可了解2025年贵州自考政策资讯、自考报名入口、准考证打印入口、成绩查询时间以及领取历年真题资料、个人专属备考方案等相关信息!

(添加“贵州自考网”招生老师微信,在线咨询报名报考等相关问题)
贵州自考网声明:
1、由于各方面情况的调整与变化,本网提供的考试信息仅供参考,考试信息以省考试院及院校官方发布的信息为准。
2、本网信息来源为其他媒体的稿件转载,免费转载出于非商业性学习目的,版权归原作者所有,如有内容与版权问题等请与本站联系。联系邮箱:952056566@qq.com
贵州自考便捷服务
贵州自考网考生微信交流群



