全国2007年7月高等教育自学考试运筹学基础真题
全国2007年7月高等教育自学考试
运筹学基础试题
课程代码:02375
一、单项选择题(本大题共15小题,每小题1分,共15分)
在每小题列出的四个备选项中只有一个是符合题目要求的,请将其代码填写在题后的括号内.错选、多选或未选均无分.
1.原材料库库存费用的模型结构为( )
A.库存费用=保管费+订货费
B.库存费用=材料费+订货费
C.库存费用=保管费+材料费
D.库存费用=材料费+订货费+保管费
2.考虑某运输问题,其需求量和供应量相等,且供应点的个数为m,需求点的个数是n.若以西北角法求得其初始运输方案,则该方案中数字格的数目应为( )
A.(m+n)个
B.(m+n-1)个
C.(m-n)个
D.(m-n+1)个
3.在解运输问题时,若调整路线已确定,则调整运量应为( )
A.负号格的最小运量
B.负号格的最大运量
C.正号格的最小运量
D.正号格的最大运量
4.下列叙述中,正确的是( )
A.箭线式网络图可以有一个始点、若干个终点
B.箭线式网络图可以有若干个始点、一个终点
C.箭线式网络图可以有若干个始点、若干个终点
D.箭线式网络图只能有一个始点、一个终点
5.关于在箭线式网络图中关键线路的叙述,不正确的是( )
A.线路时差为0的线路称为关键线路
B.从始点出发,由各个总时差为0的活动连续相接,直到终点的线路称为关键线路
C.由最早开始时间和最迟完成时间相等的结点所连接的线路称为关键线路
D.总作业时间最长的线路称为关键线路
6.不是概率向量的是( )
A.(0,0.2,0.3,0.5)
B.(0.1,0.2,0.3,0.4)
C.(0.2,0.3,0.4,0.5)
D.(0.15,0.33,0.27,0.25)
7.关于模拟的叙述,不正确的是( )
A.模拟是不精确的
B.模拟是一个最优化过程
C.模拟的过程是一种仿真
D.模拟适用于包含不确定因素的环境
8.不属于时间序列组成形式的是( )
A.季节性波动
B.偶然性波动
C.随机波动
D.长期趋势
9.某厂开发了一种新型汽车,与其性能相近的汽车市场价分别为10万元,10.5万元,10.2万元,9.8万元,9.9万元.若用横向比较法定价,该汽车的价格应定在( )
A.10万元
B.10.05万元
C.10.08万元
D.10.2万元
10.最适合解决多阶段序列决策问题的是( )
A.最大期望收益值决策方法
B.最小最大遗憾值决策方法
C.最小期望损失值决策方法
D.决策树方法
11.决策标准中,又称为贝叶斯标准的是( )
A.期望利润决策标准
B.折中主义决策标准
C.最大最小决策标准
D.最小最大遗憾值决策标准
12.某个城市的电话线网敷设问题应采用的方法是( )
A.最短路线法
B.最大流量法
C.普赖姆法
D.西北角法
13.四个球队进行循环赛,其比赛结果可以表示成一个( )
A.有向图
B.无向图
C.树
D.不连通图
14.设某产品价格为50元/件,单件产品可变成本为35元,则该产品的边际收益率为 ( )
A.70%
B.42.86%
C.40%
D.30%
15.设M为产品价格,F为固定成本,V′为单件产品可变成本,P为总生产能力,则( )
A.生产能力百分率=
×100%
B.生产能力百分率=
×100%
C.生产能力百分率=
×100%
D.生产能力百分率=
×100%
二、名词解释题(本大题共5小题,每小题3分,共15分)
16.线性规划问题的可行基解
17.直接费用
18.离散随机变量
19.微观经济预测
20.特殊性决策
三、填空题(本大题共10小题,每小题1分,共10分)
请在每小题的空格中填上正确答案.错填、不填均无分.
21.库存管理的目的之一是使库存管理的________达到最低.
22.修正分配法也叫________.
23.若用三种时间估计法计算作业时间,则应先估计出最乐观时间、________时间和最可能时间.
24.马尔柯夫过程是一种________过程.
25.时间序列预测法主要包括滑动平均预测法和________预测法.
26.广义的决策过程包括四个程序:明确决策项目的目的、________、在诸可行方案中进行抉择、对选定的决策方案经过实施后的结果进行总结评价.
27.当通过网络的各边所需的时间已知时,找出从入口到出口所需时间最少的路径的问题被称为网络的________问题.
28.若从一个图中去掉一条线后,该图仍是连通图,则该图中一定含有________.
29.盈亏平衡点处的产品销量等于固定成本费用与________之比.
30.将各种产品的边际收益率________,便可得到所有产品的总边际收益率.
四、计算题Ⅰ(本大题共3小题,每小题5分,共15分)
31.某瓷器厂下一年度需用某种陶土1 000吨.若这种陶土的进厂价是1 000元/吨,订货费用是500元/次,年保管费用率为平均存货额的10%.试求这种陶土的经济订货量和平均存货额.
32.为研究某一化学反应过程中温度x(℃)对产品得率y(%)的影响,测得一组数据,经加工整理后,得到
=145(℃),
=67.3(%).又已知回归直线在y轴上的截距为-2.74.试据此用一元线性回归法估计当温度为125℃时的产品得率(保留两位小数).
33.某商场对喝A,B,C三种饮料的顾客作抽样调查:原饮A种饮料仍然继续保持饮A种饮料的人占75%,改饮B种饮料的人占15%,改饮C种饮料的人占10%.原饮B种饮料仍然继续饮B种饮料的人占85%,改饮C种饮料的人占8%,改饮A种饮料的人占7%.原饮C种饮料仍然继续饮C种饮料的人占90%,改饮B种饮料的人占5%,改饮A种饮料的人占5%.试问:经过一段时间后,处于平衡状态时,这三种饮料的市场占有率分别为多少?
五、计算题Ⅱ(本大题共3小题,每小题5分,共15分)
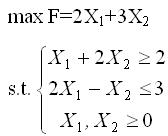
34.用图解法解线性规划问题:
35.煤气公司欲在某地区各高层住宅楼间敷设煤气管道并与主管道相连.其位置如题35图,节点代表各住宅楼和主管道位置,线上数字代表两节点间距离(单位:百米).
问:(1)如何敷设才能使所用管道最少?
(2)需用管多少?

题35图
36.在题36表中填入累计概率和随机数分布.
题36表
到货延误天数
概率
累计概率
随机数分布
5
0.07
4
0.21
3
0.25
2
0.35
1
0.06
0
0.06
六、计算题Ⅲ(本大题共2小题,每小题7分,共14分)
37.设销售收入I=50Q-0.002Q2,总生产费用C=30 000+18Q+0.006Q2.请分别求出:盈亏平衡时的产量,利润最大时的产量Qmax,单件成本最小时的产量Qmin.
38.某运输问题的产销平衡表和单位运价表如题38表所示:
题38表

求:(1)用西北角法建立初始调运方案;
(2)用位势法判断该初始调运方案是否是最优方案;若不是,则作一次调整.
七、计算题Ⅳ(本大题共2小题,每小题8分,共16分)
39.某工程由9道工序组成,其有关资料如题39表所示:
题39表
工序
A
B
C
D
E
F
G
H
I
作业时间(天)
15
10
10
10
5
5
20
10
15
紧前工序
无
无
A、B
A、B
B
D、E
C、F
D、E
G、H
试求:(1)画出该工程的箭线式网络图;
(2)通过计算结点和工序的网络时间,确定关键线路.
40.设三个备选投资方案的决策益损如题40表:
题40表
(1)试用最大最大决策标准选择方案;
(2)当α取何值时,用现实主义决策标准和用最大最大决策标准选择的方案相同?
⊙小编提示:添加【贵州自考网】招生老师微信,即可了解2025年贵州自考政策资讯、自考报名入口、准考证打印入口、成绩查询时间以及领取历年真题资料、个人专属备考方案等相关信息!

(添加“贵州自考网”招生老师微信,在线咨询报名报考等相关问题)
贵州自考网声明:
1、由于各方面情况的调整与变化,本网提供的考试信息仅供参考,考试信息以省考试院及院校官方发布的信息为准。
2、本网信息来源为其他媒体的稿件转载,免费转载出于非商业性学习目的,版权归原作者所有,如有内容与版权问题等请与本站联系。联系邮箱:952056566@qq.com
贵州自考便捷服务
贵州自考网考生微信交流群



